TP&W Field Notes

Becoming an Outdoors Woman Returns to the Texas Coast

Nicole Plowman | Coastal Ecologist, Dickinson Marine Lab
“The other way! No, the other way! The other, OTHER way!” If you regularly use a boat ramp, you’ve witnessed...

TPWD Coastal Fisheries Stock Enhancement of Spotted Seatrout - Post Freeze

Tyler Schacht | Hatchery Team Leader | Perry R. Bass Marine Fisheries Research Station
Stock enhancement is a fisheries management tool used around the world to help supplement wild fish populations by introducing hatchery-reared...

From Sea to Stream: Tracking the Elusive American Eel as it Slithers from Texas’ Estuaries into its Rivers

Joel Anderson (Facility Manager, Perry R. Bass Research Station) and Jillian Swinford (Natural Resource Specialist, Perry R. Bass Research Station)
The American Eel (scientific name Anguilla rostrata) is a species of eel that is found throughout the eastern part of...

The rise of tropical fish and fish diversity in Texas

Lily Walker, Fish and Wildlife Technician, TPWD Upper Laguna Madre Ecosystem Team
The Texas Slam, which includes the combined catch of a Spotted Seatrout, Redfish, and Southern Flounder in a single day,...

Age and Growth of Coastal Spotted Seatrout in Texas

Joel Anderson, Facility Manager, Perry R. Bass Research Station
One of the main hurdles facing fishery biologists is that the subject of their science occurs under water.  For this...

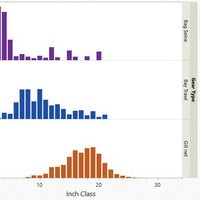
The Modern Angler—Understanding the demographics, behaviors, and motivations of the men and women who fish the Texas coast

Zachary Olsen | Aransas Bay Ecosystem
Fisheries management takes more than understanding the biology and ecology of the fish and invertebrates that live in our waters....

The Trials and Tribulations of Trout Management

Vivienette Perez
Have you ever come back from a fishing trip and been approached by a group of people in khaki uniforms...

Morning Glory

J. Ruben Chavez | Hatchery Biologist, CCA Marine Development Center
Most coastal anglers in Texas know that the Texas Parks & Wildlife Department (TPWD) stocks millions of fingerlings representing a...

Acoustic Tagging Update from Sabine Lake

Carey Gelpi PhD and Shambhu Paudel PhD | Sabine Lake Marine Lab
Since December 2020, Texas Parks & Wildlife Department (TPWD) and Texas A&M University at Galveston have been engaged in an...

Grass Island Reef: A Restoration Shuck-ccess Story

Evan Pettis | Habitat Assessment Team Lead, TPWD Coastal Fisheries
The eastern oyster is a culinary favorite that provides significant economic and cultural benefits to Texas’s coastal residents. As a...

GUIDES

Check out the hottest angler
locations, latest product
reviews and tips & tricks
from our pro guides
and contributors.

To learn more select a
coastal region below.

Gulf Coast Kitchen

Get all the latest coastal cuisine recipes from guides and authors.

Recipe of the month

Shrimp & Crab Appetizer Cups

Flaky, cheesy seafood-filled bites that make the perfect appetizer for parties or brunch! Ingredients 1 sheet puff pastry 2 Tbsp...

Upcoming

Catching Them the Way They Want…Not the Way We Want

Artificial Reefs, Real Partnerships: How Collaboration Builds Life Beneath the Waves